Enter contribution, age and annuity share to see your retirement outcome.
What is NPS?
The National Pension System (NPS) is a government-backed retirement savings scheme regulated by the Pension Fund Regulatory and Development Authority (PFRDA).
It enables individuals to invest systematically during their working years and receive a regular pension after retirement. Both salaried and self-employed individuals can open an NPS account and contribute regularly to build a retirement corpus.
NPS offers two main accounts:
- Tier I (mandatory) тАУ A long-term retirement account with partial withdrawal restrictions.
- Tier II (optional) тАУ A voluntary savings account that allows flexible withdrawals.
Contributions made to NPS are eligible for income-tax deductions under Section 80CCD(1) and 80CCD(1B), making it one of the most tax-efficient retirement investment options in India.
What is an NPS Calculator?
An NPS Calculator is a financial planning tool that helps investors estimate their pension wealth, lump-sum withdrawal, and monthly annuity income at retirement.
By entering inputs such as monthly investment, expected rate of return, current age, and annuity percentage, users can visualize how their retirement corpus grows until age 60.
The calculator instantly shows your total contributions, potential pension wealth, and expected monthly income post-retirement тАФ giving you a realistic idea of your financial future.
How can an NPS Calculator Help You?
A National Pension System calculator simplifies retirement planning in several ways:
- Visualizes long-term growth: Understand how consistent monthly contributions build a large corpus over time.
- Helps choose investment size: Test different contribution amounts to achieve your desired pension.
- Forecasts annuity income: Estimate how much monthly pension you can expect based on your chosen annuity percentage.
- Saves time: Eliminates manual compounding calculations with instant, accurate projections.
- Encourages disciplined saving: Seeing tangible results promotes regular investment toward retirement goals.
By using the Business Day NPS Calculator, you can make informed decisions about your retirement contributions and expected income тАФ without complex spreadsheets or formulas.
How Does NPS Calculator Work?
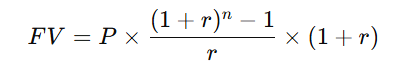
The NPS Calculator works on the future value of monthly compounding formula and the annuity income formula.
1. Future Value of NPS Corpus
Where:
- FV = Future value or pension corpus at retirement
- P = Monthly investment amount
- r = Monthly rate of return (annual rate ├╖ 12 ├╖ 100)
- n = Total number of months till retirement
2. Monthly Pension from Annuity
Where:
- A = Amount invested in annuity
- R = Annual return from annuity (%)
Example Calculation
| Parameter | Value |
|---|---|
| Monthly Investment (P) | тВ╣10,000 |
| Current Age | 30 years |
| Retirement Age | 60 years |
| Investment Duration | 30 years (360 months) |
| Expected Return on Investment | 10% per annum |
| Percentage of Annuity Purchase | 40% |
| Expected Return on Annuity | 6% per annum |
Step 1: Calculate Pension Wealth
Step 2: Calculate Lump-sum & Annuity
- Lump-sum Withdrawal (60%) = тВ╣1.37 crore
- Annuity Purchase (40%) = тВ╣0.91 crore
- Monthly Pension = 0.91 crore ├Ч (6% ├╖ 12) = тВ╣45,500 approximately
| Calculation Type | Amount |
|---|---|
| Total Investment | тВ╣36,00,000 |
| Pension Wealth | тВ╣2,28,00,000 |
| Lumpsum Withdrawal | тВ╣1,37,00,000 |
| Monthly Pension | тВ╣45,500 |
This example demonstrates how a modest monthly contribution can generate significant wealth through compounding and annuity benefits.
How to Use Business Day NPS Calculator?
The Business Day NPS Calculator is built for simplicity and precision:
- Enter your Monthly Investment тАУ (up to тВ╣1,00,000).
- Input Expected Return on Investment (% p.a.) тАУ (up to 30%).
- Provide Current Age тАУ between 0 and 59.
- Retirement Age тАУ fixed at 60 years by default.
- Set Percentage of Annuity Purchase тАУ up to 40%.
- Add Expected Return from Annuity тАУ up to 30%.
- Click тАЬCalculateтАЭ to see your projected Pension Wealth, Lump-sum Withdrawal, Annuity Value, and Monthly Pension.
The tool also provides interactive charts to visualize your NPS growth and the split between lump-sum and annuity portions, helping you make smarter financial choices.
Advantages of Using Business Day NPS Calculator
Using the Business Day NPS Calculator offers multiple advantages over generic calculators:
- Accurate Compounding Calculations: Built on real NPS formulas and verified logic.
- Clean, Professional Interface: Red-white theme for easy readability on all devices.
- Error Validation: Ensures all inputs are within government-approved NPS limits.
- Interactive Charts: Visualizes investment growth and pension distribution.
- Instant Results: Displays pension wealth, lump-sum, and annuity in seconds.
- Free to Use: Accessible anytime on BusinessDay.in with no registration.
- SEO-Optimized and AdSense-Friendly: Structured for fast load, clear data presentation, and LLM discoverability.
The Business Day NPS Calculator is not just a tool тАФ itтАЩs a comprehensive retirement planner that helps you build a secure and financially independent future.
NPS FAQs
Why should one look at opening an NPS account?
Who can join NPS and can I have multiple NPS accounts?
How exactly the NPS system works?
What are the tax benefits under the NPS scheme?
- Up to тВ╣1.5 lakh under Section 80CCD(1) (within the 80C limit)
- Additional deduction of тВ╣50,000 under Section 80CCD(1B)
- Employer contribution up to 10% of salary (basic + DA) under Section 80CCD(2)
Explain auto choice and rebalancing in NPS accounts?
What are the asset classes permitted under the NPS scheme?
- E тАУ Equity funds
- C тАУ Corporate debt
- G тАУ Government securities
- A тАУ Alternative Investment Funds (AIFs)
Can I put any split between lumpsum and annuity for my NPS calculation?
What is NPS and its benefits?
How can I get 50,000 pension per month in NPS?
What are the 4 types of NPS?
- Tier I тАУ Primary retirement account (mandatory)
- Tier II тАУ Voluntary savings account
- Corporate NPS тАУ Employer-sponsored plan
- NPS Lite / eNPS тАУ Simplified digital enrolment options


