What is a Mutual Fund Calculator?
A Mutual Fund Calculator is an online tool that helps investors estimate how much their money can grow when invested in mutual funds.
By entering basic inputs—such as your investment amount, duration, and expected annual return—the calculator instantly projects the maturity value, profit earned, and total corpus.
It saves time, avoids manual computation errors, and gives a clear picture of potential wealth creation before investing.
How can a Mutual Fund Calculator help you?
A Mutual Fund Calculator helps you make smarter investment decisions by:
- 🧮 Showing how your investment compounds over time.
- 📊 Letting you compare returns between SIP (Systematic Investment Plan) and lumpsum investments.
- 🎯 Helping you plan for financial goals such as education, home purchase, or retirement.
- ⚡ Offering instant, data-driven insights without any registration or cost.
Using this tool, you can plan both short-term and long-term strategies based on your risk tolerance and expected market performance.
How does a Mutual Fund Calculator work?
Mutual fund returns are calculated using the future value (FV) formula based on compound interest.
📘 For Lumpsum Investments
Where:
- FV = Future value (maturity amount)
- P = Principal amount invested
- r = Annual rate of return (in decimal form)
- t = Investment period in years
Example (Lumpsum):
| Parameter | Value |
|---|---|
| Investment (P) | ₹1,00,000 |
| Duration (t) | 10 years |
| Expected Return (r) | 12% per annum |
| Calculation Type | Amount |
|---|---|
| Total Invested | ₹1,00,000 |
| Estimated Profit | ₹2,10,585 |
| Maturity Value | ₹3,10,585 |
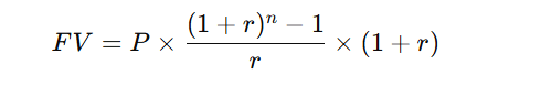
📘 For SIP Investments
Where:
- FV = Future value
- P = Monthly SIP amount
- r = Monthly return rate = Annual rate ÷ 12 ÷ 100
- n = Total number of months
Example (SIP):
| Parameter | Value |
|---|---|
| Monthly SIP | ₹10,000 |
| Duration | 10 years = 120 months |
| Expected Return | 12% per annum (1% monthly) |
| Calculation Type | Amount |
|---|---|
| Total Invested | ₹12,00,000 |
| Estimated Profit | ₹11,00,300 |
| Maturity Value | ₹23,00,300 |
How to use Business Day Mutual Fund Calculator
Using the Business Day Mutual Fund Calculator is quick and beginner-friendly:
- Choose your investment mode — Lumpsum or SIP.
- Enter the amount you wish to invest or your monthly SIP.
- Add your investment period (years) and expected annual return (%).
- Click “Calculate” — you’ll instantly see:
- Total Invested Amount
- Estimated Profit / Returns
- Final Maturity Value
- Interactive charts showing yearly growth and return split
You can adjust the numbers anytime to compare scenarios and plan smarter.
Advantages of using Business Day Mutual Fund Calculator
- ✅ Free & Instant: Get accurate results instantly—no login, no charges.
- 📈 Goal-Based Planning: Helps you align investments with financial goals.
- 💡 Data-Driven Insights: Visual charts show exactly how compounding works.
- 🔁 Compare SIP & Lump Sum: Evaluate which option suits your budget.
- 🧩 Accurate Formulas: Uses real-world compounding equations for reliable results.
- 🌐 Accessible Anywhere: Works smoothly on mobile, tablet, or desktop.
The Business Day Mutual Fund Calculator is more than a financial tool—it’s your digital investment planner, helping you visualize long-term wealth and make informed, confident decisions.



